通知公告

当前位置: 网站首页 -> 通知公告 -> 正文

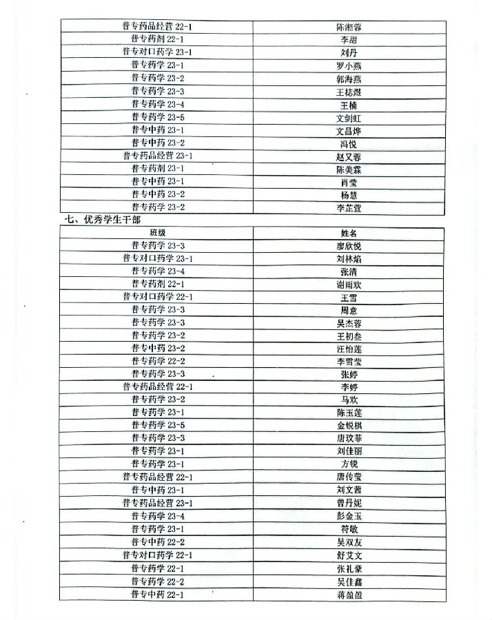
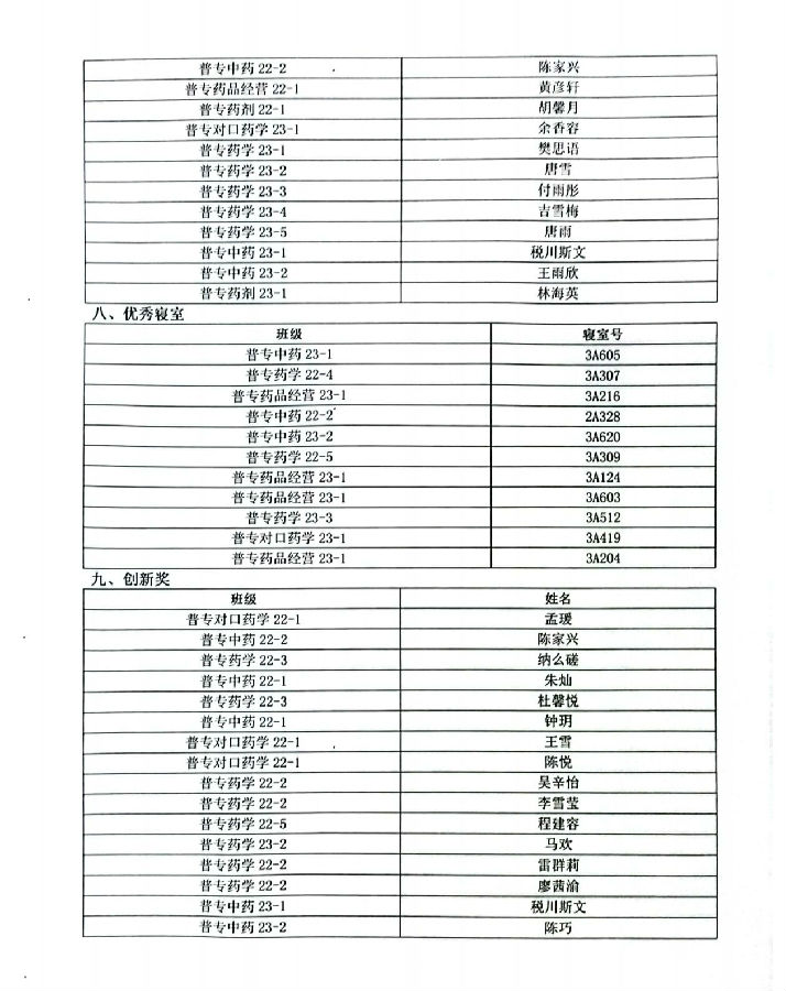
生物医药学院2023-2024年度评优评奖结果公示

信息来源:sunbet申搏官方网站生物医药学院 发布日期:2024-09-23


图/文:张俊
编辑:黎缘
审核:徐娇
2024年9月23日